In the initial stage of developing A8-35, it was shown that some changes could be brought to the chemical structure of the latter without compromising the ability of the resulting polymers to keep MPs soluble in the absence of detergents. This included longer polymers (Tribet et al. (1996)), shorter ones (unpublished data), polymers with a higher density of charges (Tribet et al. (1996)) and polymers carrying dodecyl rather than octyl hydrophobic chains (unpublished data).
Polymers similar to A8-35 but differing from it, mainly, by the distribution of the alkyl chains have also been proposed (Nagy et al. (2001)), as well as polymers that comprise zwitterionic groups and carry no net charge at basic pH (but, because the anionic group is a carboxylate, positive charges in acidic solutions) (Gorzelle et al. (2002)).
Similarly, phosphorylcholine-based APols (PC APols; Fig. 6b) owe their high solubility to their globally neutral but highly charged polar heads, as well as to the presence of a secondary amine function (Tribet et al. (2009), Diab et al. (2007 a, 2007b)).
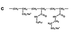
Sulfonated APols (SAPols; Fig. 6c) have been developed with the view of mimicking A8-35's properties while ensuring solubility at acidic pH, mainly for NMR purposes (Picard et al. (2006), Dahmane et al. (2011)).
The search for totally non-ionic APols (NAPols) has been a protracted endeavor, due to the difficulty to make these molecules soluble enough without driving the formation of huge particles and complexes, which would be of no use for most applications. The feasibility of the concept was established relatively early, using the hydroxyl moieties of Tris groups to confer hydrophilicity (Sharma et al. (2008)), but the solubility of this family of molecules turned out to be too borderline and difficult to control for convenient use. More recently, this problem has been solved with glycosylated non-ionic APols (Bazzacco et al. (2012,2009)) (Fig. 6d), the latest version of which are homopolymers (Sharma et al. (2012), Bazzacco (2009)).
At variance with A8-35, NAPols, SAPols and PC-APols are pH- and calcium-insensitive. While they have not yet been used and characterized as intensively as A8-35 (and are not commercial yet), they are to be preferred whenever a low pH or the presence of multivalent cations is required. NAPols and SAPols have been validated for MP folding, NMR studies at low pH, and, in the case of NAPols, the study of interactions of G protein-coupled receptors with G proteins and arrestin (Dahmane et al. (2011), Bazzacco et al. (2012)). In addition, NAPols are the only APols tested to date that allow MP cell-free synthesis (Popot et al. ( 2011), Bazzacco et al. (2012,2009)).



